È«ÇòÑз¢ | «ÎÖÃÀÌæÄᣨFCN-159£©ÖÎÁƶùͯNF1¸üÐÂÊý¾ÝÓÚASCO 2025Ðû²¼



2025Äê5ÔÂ22ÈÕ£¬£¬£¬£¬£¬£¬£¬ÃÀ¹úÁÙ´²Ö×Áöѧ»á£¨ASCO£©Äê»áÐû²¼ÁËÈëÑ¡Ñо¿ÕªÒª¡£¡£¡£¡£¡£¡£¡£¡£Óɸ´ÐÇÒ½Ò©×ÔÖ÷Ñз¢µÄ«ÎÖÃÀÌæÄáÆ¬£¨FCN-159£©ÖÎÁƶùͯIÐÍÉñ¾ÏËάÁö²¡Ïà¹Ø´Ô×´Éñ¾ÏËάÁö£¨NF1Ïà¹ØPN£©µÄ2ÆÚÁÙ´²Ñо¿¸üÐÂÊý¾ÝÈëÑ¡1¡£¡£¡£¡£¡£¡£¡£¡£
«ÎÖÃÀÌæÄáÆ¬ÊÇÒ»¿î¸ßÑ¡ÔñÐÔMEK1/2ÒÖÖÆ¼Á£¬£¬£¬£¬£¬£¬£¬Æä˫˳Ӧ֢£¨ÀʸñººË¹Ï¸°û×é֯ϸ°ûÔöÉúÖ¢ºÍ×é֯ϸ°ûÖ×Áö¡¢IÐÍÉñ¾ÏËάÁö²¡Ïà¹Ø´Ô×´Éñ¾ÏËάÁö£©ÔÚ»ñCDE¶à´ÎÍ»ÆÆÐÔÖÎÁƺÍÓÅÏÈÉóÆÀÈ϶¨ºó£¬£¬£¬£¬£¬£¬£¬ÒÑÓÚ5ÔÂ29ÈÕ»ñÅúÉÏÊС£¡£¡£¡£¡£¡£¡£¡£
»ùÓÚ¸ÃÑо¿ÔÚ2023Äê¼°2024ÄêASCOÄê»áÒÑÐû²¼µÄ1/2ÆÚÑо¿Êý¾Ý£¬£¬£¬£¬£¬£¬£¬±¾´ÎÊý¾Ý¸üÐÂÁË×îÐÂËæ·ÃµÄÁÆÐ§ºÍÇå¾²ÐÔÊý¾Ý£¬£¬£¬£¬£¬£¬£¬Õ¹Ê¾ÁË«ÎÖÃÀÌæÄáÆð¾¢µÄÁÙ´²»ñÒæºÍÓÅÒìµÄÇå¾²ÐÔ£¬£¬£¬£¬£¬£¬£¬½«ÎªÂ«ÎÖÃÀÌæÄáµÄ¿ÆÑ§ÖÎÁÆÔÙÌíÁ¦Ö¤¡£¡£¡£¡£¡£¡£¡£¡£

¾Û½¹ NF1 ¶ùÍ¯Äæ¾³£¬£¬£¬£¬£¬£¬£¬Ìî²¹ÖÎÁÆ¿Õȱ
I ÐÍÉñ¾ÏËάÁö²¡£¡£¡£¡£¡£¡£¡£¡£¨NF1£©ÊÇÒ»ÖÖ³£È¾É«ÌåÏÔÐÔÒÅ´«ÐÔÖ×ÁöÐÔ¼²²¡£¬£¬£¬£¬£¬£¬£¬³£ÀÛ¼°¶àϵͳ¡£¡£¡£¡£¡£¡£¡£¡£Ô¼ 30%-50% µÄ»¼Õß°é·¢´Ô×´Éñ¾ÏËάÁö£¨PN£©£¬£¬£¬£¬£¬£¬£¬¿Éµ¼Ö»ÙÈÝ¡¢ÌÛÍ´¡¢ÉíÌ幦ЧÕϰµÈÑÏÖØÎÊÌâ²¢ÏÔÖøÓ°Ï컼ÕßÉúÑÄÖÊÁ¿¡£¡£¡£¡£¡£¡£¡£¡£PN »¼Õß´ó¶àÔÚÓ×ÄêʱÆÚÆð²¡£¬£¬£¬£¬£¬£¬£¬ÇÒÔÚÉú³¤·¢ÓýÒªº¦µÄ¶ùͯÆÚ¼²²¡Ï£Íû¸üΪѸËÙ£¬£¬£¬£¬£¬£¬£¬Òò´Ë¶ùͯ NF1-PN µÄÖÎÁÆÐèÇóÓÈΪÆÈÇÐ2¡£¡£¡£¡£¡£¡£¡£¡£
ÏÖÔÚÊÖÊõËäΪNF1Ïà¹ØPNµÄÖ÷ÒªÖÎÁÆÊֶΣ¬£¬£¬£¬£¬£¬£¬µ«ÓÉÓÚÁöÌåÆðÔ´ÓÚÉñ¾£¬£¬£¬£¬£¬£¬£¬Ô¼Ö»ÓÐ15% µÄ»¼ÕßÖ×Áö¿ÉÍêÈ«Çгý£¬£¬£¬£¬£¬£¬£¬43%µÄ»¼ÕßÊõºó»á·ºÆðPN¸´·¢3¡£¡£¡£¡£¡£¡£¡£¡£²»¿ÉÇгý»òÊõºó¸´·¢µÄ PN »¼ÕßÖÎÁÆÑ¡Ôñ¼«ÎªÓÐÏÞ£¬£¬£¬£¬£¬£¬£¬ÓÈÆäÊǹØÓÚ2 ËêµÄÖйú¶ùͯ»¼Õߣ¬£¬£¬£¬£¬£¬£¬ÔÚ«ÎÖÃÀÌæÄá»ñÅúǰÎÞÒ©Îï¿ÉÓᣡ£¡£¡£¡£¡£¡£¡£
±¾Ñо¿ÎªÒ»Ïî¶àÖÐÐÄ£¬£¬£¬£¬£¬£¬£¬¿ª·Å±êÇ©2ÆÚÁÙ´²ÊÔÑé¡£¡£¡£¡£¡£¡£¡£¡£ÆäÖ÷ҪĿµÄÊÇÆÀ¹À«ÎÖÃÀÌæÄáÆ¬£¨FCN-159£©ÖÎÁƶùͯIÐÍÉñ¾ÏËάÁö²¡Ïà¹Ø´Ô×´Éñ¾ÏËάÁö£¨NF1Ïà¹ØPN£©µÄÓÐÓÃÐÔ¼°Çå¾²ÐÔ¡£¡£¡£¡£¡£¡£¡£¡£Ö÷ÒªÖÕµãΪÑо¿Õ߯À¹ÀµÄ¿Í¹Û»º½âÂÊ£¨ORR£©£¬£¬£¬£¬£¬£¬£¬Òªº¦´ÎÒªÖÕµãΪä̬×ÔÁ¦ÆÀÉóίԱ»á£¨BIRC£©ÆÀ¹ÀµÄORR¡£¡£¡£¡£¡£¡£¡£¡£

«ÎÖÃÀÌæÄáÆðЧѸËÙÇÒÁÆÐ§ÏÔÖø£¬£¬£¬£¬£¬£¬£¬ORR´ï60.5%£¬£¬£¬£¬£¬£¬£¬ÖÐλÆðЧʱ¼äΪ4.7¸öÔÂ
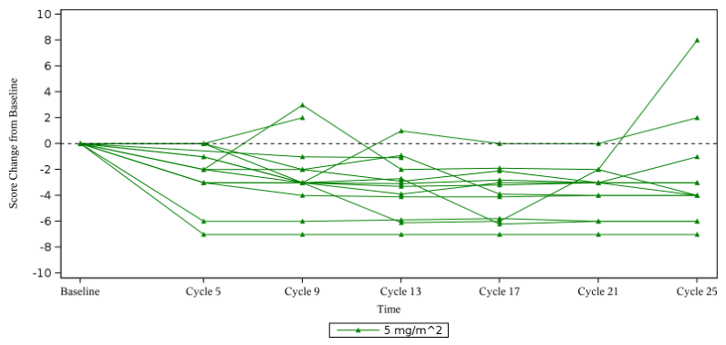
×èÖ¹2024Äê9ÔÂ23ÈÕ£¬£¬£¬£¬£¬£¬£¬±¾Ïî¶àÖÐÐÄ£¬£¬£¬£¬£¬£¬£¬¿ª·Å±êÇ©2ÆÚÁÙ´²Ñо¿ÄÉÈë46Àý2-18Ë꣨²»º¬£©NF1Ïà¹ØPN¶ùͯ»¼Õß½ÓÊÜ«ÎÖÃÀÌæÄᣨ5 mg/m2£¬£¬£¬£¬£¬£¬£¬ÖðÈÕÒ»´Î£©ÖÎÁÆ¡£¡£¡£¡£¡£¡£¡£¡£ÖÐÎ»Ëæ·Ãʱ¼äΪ25.1¸öÔ¡£¡£¡£¡£¡£¡£¡£¡£
ÔÚ43 Àý¿ÉÆÀ¹À»¼ÕßÖУ¬£¬£¬£¬£¬£¬£¬Ñо¿Õ߯À¹ÀÇÒÈ·ÈϵĿ͹ۻº½âÂÊ£¨ORR£©´ï60.5%£¨95% CI£º44.4-75.0£©£¬£¬£¬£¬£¬£¬£¬26 ÀýµÖ´ï²¿·Ö»º½â£¨PR£©£¬£¬£¬£¬£¬£¬£¬17 Àý¼²²¡Îȹ̣¨SD£©£¬£¬£¬£¬£¬£¬£¬ÎÞ»¼Õß¼²²¡Ï£Íû¡£¡£¡£¡£¡£¡£¡£¡£ÖÐλ»º½âÒ»Á¬Ê±¼ä£¨DOR£©ºÍÖÐλÎÞÏ£ÍûÉúÑÄÆÚ£¨PFS£©Î´µÖ´ï¡£¡£¡£¡£¡£¡£¡£¡£
ÔÚ43Àý¿ÉÆÀ¹À»¼ÕßÖУ¬£¬£¬£¬£¬£¬£¬BIRCÆÀ¹ÀÇÒÈ·È쵀 ORR Ϊ44.2%£¨95% CI£º29.1-60.1£©£¬£¬£¬£¬£¬£¬£¬19 ÀýµÖ´ïPR£¬£¬£¬£¬£¬£¬£¬24 ÀýµÖ´ïSD£¬£¬£¬£¬£¬£¬£¬ÎÞ»¼Õß¼²²¡Ï£Íû¡£¡£¡£¡£¡£¡£¡£¡£
Ñо¿Õ߯À¹ÀµÄÖÐλÆðЧʱ¼äΪ4.7¸öÔ£¬£¬£¬£¬£¬£¬£¬BIRCÆÀ¹ÀµÄÖÐλÆðЧʱ¼äλ5.5¸öÔ¡£¡£¡£¡£¡£¡£¡£¡£

»ùÏßNRS¡Ý2 ·Ö»¼ÕßÖУ¬£¬£¬£¬£¬£¬£¬92.9%ÌÛÍ´ÏÔןÄÉÆ
ÔÚ 14 Àý¿ÉÆÀ¹ÀÌÛÍ´µÄ»¼ÕßÖУ¨¼´»ùÏß×ÜÌåÖ×ÁöÌÛÍ´ÆÀ·Ö¡Ý2ÇÒÖÁÉÙÓÐÒ»´Î»ùÏߺóÆÀ¹ÀµÄ»¼Õߣ©£¬£¬£¬£¬£¬£¬£¬Óë»ùÏßÏà±È£¬£¬£¬£¬£¬£¬£¬ÖÐλ×î´óÌÛÍ´½µµÍ·ÖÊýµÄת±äΪ-3.5·Ö¡£¡£¡£¡£¡£¡£¡£¡£13Àý£¨92.9%£©»¼ÕßµÄÌÛÍ´ÆÀ·ÖÖÁÉÙ½µµÍ2·Ö£¬£¬£¬£¬£¬£¬£¬µÖ´ïÁËÁÙ´²ÒâÒåµÄ¸ÄÉÆ¡£¡£¡£¡£¡£¡£¡£¡£11Àý£¨78.6%£©»¼ÕßµÄÌÛÍ´ÆÀ·ÖΪ0£¬£¬£¬£¬£¬£¬£¬¼´ÌÛÍ´ÍêÈ«ÏûÊÅ¡£¡£¡£¡£¡£¡£¡£¡£

Çå¾²ÐÔÓÅÒ죬£¬£¬£¬£¬£¬£¬²»Á¼ÊÂÎñ¶àΪ1-2¼¶Çҿɿأ¬£¬£¬£¬£¬£¬£¬Î´·ºÆðеÄÇå¾²ÐÔÐźÅ
ÓëÑо¿Ò©ÎïÓйصIJ»Á¼ÊÂÎñ£¨TRAEs£©±¬·¢ÂÊΪ 97.8%£¬£¬£¬£¬£¬£¬£¬ÒÔ 1-2 ¼¶ÎªÖ÷£¬£¬£¬£¬£¬£¬£¬¡Ý3 ¼¶ TRAEs ½öÕ¼21.7%£¬£¬£¬£¬£¬£¬£¬³£¼û²»Á¼ÊÂÎñÖ÷Òª°üÀ¨¼×¹µÑ×£¨65.2%£©¡¢Ñª¼¡ËáÁ×Ëἤø£¨CPK£©Éý¸ß£¨56.5%£©¡¢¿ÚÇ»À£Ññ£¨52.2%£©ºÍѪÈéËáÍÑÇâøÉý¸ß£¨50%£©£¬£¬£¬£¬£¬£¬£¬¾ùΪ MEK ÒÖÖÆ¼ÁÀàÒ©Îï³£¼û¿É¿ØÐÔ·´Ó¦¡£¡£¡£¡£¡£¡£¡£¡£
¸¹Í´¡¢¸¹Ðº¡¢¶ñÐĺÍÍÂÄæµÄ±¬·¢ÂÊÔÚ 2.2% ÖÁ 19.6% Ö®¼ä£¬£¬£¬£¬£¬£¬£¬ÇÒ¾ùδ´ï 3 ¼¶¡£¡£¡£¡£¡£¡£¡£¡£½ö 2 Àý£¨4.3%£©»¼Õß·ºÆðÓëÑо¿Ò©ÎïÓйصÄÑÏÖØ²»Á¼ÊÂÎñ£¨ðî´¯ÑùƤÑ׺ÍѬȾÐÔ·ÎÑ×£©¡£¡£¡£¡£¡£¡£¡£¡£13Àý£¨28.3%£©»¼Õß·ºÆðµ¼ÖÂÔÝÍ£ÓÃÒ©µÄTRAE£¬£¬£¬£¬£¬£¬£¬ÎÞTRAEµ¼Ö¼ÁÁ¿½µµÍ¡¢ÓÀÊÀÍ£Ò©»òéæÃü¡£¡£¡£¡£¡£¡£¡£¡£»£»£»£»£»£»£»£»¼ÕßÒÀ´ÓÐÔµÖ´ï100%¡£¡£¡£¡£¡£¡£¡£¡£
«ÎÖÃÀÌæÄáµÄÇå¾²ÐÔÓÅÒ죬£¬£¬£¬£¬£¬£¬²»Á¼ÊÂÎñ¾ÓɶÔÖ¢ÖÎÁƺÍÔÝÍ£ÓÃÒ©ºó¿ÉÓÐÓÃÖÎÀí¡£¡£¡£¡£¡£¡£¡£¡£ÔÚ¶ùͯ¼°ÇàÉÙÄêÖÐÄÍÊÜÐÔÓÅÒì¡£¡£¡£¡£¡£¡£¡£¡£

´úлÎȹ̡¢¸ßÑ¡ÔñÐÔ¡¢µÍ¶¾ÐÔµÄÌØµã£¬£¬£¬£¬£¬£¬£¬ÎªÖйú NF1 »¼¶ù´øÀ´ÁÙ´²»ñÒæ
×÷ΪÊ׸ö¹ú²úMEKÒÖÖÆ¼Á£¬£¬£¬£¬£¬£¬£¬Â«ÎÖÃÀÌæÄáÔڽṹÉÏͨ¹ýÐͬÉè¼Æ£¬£¬£¬£¬£¬£¬£¬ÊµÏÖÁË´úлÎȹ̡¢¸ßÑ¡ÔñÐԺ͵Ͷ¾ÐÔ£¬£¬£¬£¬£¬£¬£¬ÒÔ¼°°ëË¥ÆÚÑÓÉìµÄÓÅÊÆ¡£¡£¡£¡£¡£¡£¡£¡£Ò©´ú¶¯Á¦Ñ§ÌØÕ÷Ö§³ÖÒ©ÎïÖðÈÕ¸øÒ©1´Î£¬£¬£¬£¬£¬£¬£¬²»ÊܲÍʳӰÏì²¢¾ßÓиüÉٵĺϲ¢ÓÃÒ©Ó°Ï죬£¬£¬£¬£¬£¬£¬¾ù´øÀ´¸üºÃµÄÒÀ´ÓÐÔ£¬£¬£¬£¬£¬£¬£¬Êʺ϶ùͯºã¾ÃÓÃÒ©¡£¡£¡£¡£¡£¡£¡£¡£Â«ÎÖÃÀÌæÄá²»µ«ÒÔ¸ßÑ¡ÔñÐÔ»úÖÆÍ»ÆÆÁ˹ŰåÖÎÁƵľÖÏÞÐÔ£¬£¬£¬£¬£¬£¬£¬¸üͨ¹ýÏÔÖøµÄÖ×Áö»º½âÂÊÓëÌÛÍ´¸ÄÉÆÊý¾Ý£¬£¬£¬£¬£¬£¬£¬½«Îª NF1 »¼¶ù´øÀ´Æð¾¢µÄÁÙ´²»ñÒæ¡£¡£¡£¡£¡£¡£¡£¡£
±ðµÄ£¬£¬£¬£¬£¬£¬£¬Â«ÎÖÃÀÌæÄáÆ¬ÓÃÓÚÖÎÁƳÉÈË¢ñÐÍÉñ¾ÏËάÁö²¡ÓÚÖйú¾³ÄÚ´¦ÓÚ¢óÆÚÁÙ´²ÊÔÑé½×¶Î£¬£¬£¬£¬£¬£¬£¬¸ÃÒ©Æ·ÓÃÓÚ³õ¼¶±ðÄÔ½ºÖÊÁö¡¢ÂÍâÐÂÎÅÂö»ûÐΡ¢¶ùͯÀʸñººË¹Ï¸°û×é֯ϸ°ûÔöÉúÖ¢µÄÖÎÁÆÓÚÖйú¾³ÄÚ¾ù´¦ÓÚ¢òÆÚÁÙ´²ÊÔÑé½×¶Î£¬£¬£¬£¬£¬£¬£¬ÆäÖУ¬£¬£¬£¬£¬£¬£¬¸ÃÒ©Æ·ÓÃÓÚÎÞ·¨ÊÖÊõ»òÊõºó²ÐÁô/¸´·¢µÄNF1Ïà¹ØµÄ´Ô×´Éñ¾ÏËάÁö³ÉÈË»¼Õß¡¢¶ùͯÀʸñººË¹×é֯ϸ°ûÔöÉúÖ¢Á½Ïî˳Ӧ֢¾ùÒѱ»¹ú¼ÒÒ©¼à¾ÖÒ©Æ·ÉóÆÀÖÐÐÄÄÉÈëÍ»ÆÆÐÔÖÎÁÆÒ©Îï³ÌÐò¡£¡£¡£¡£¡£¡£¡£¡£¸´ÐÇÒ½Ò©½«Ò»Á¬ÍƽøÂ«ÎÖÃÀÌæÄáÆ¬ÔÚÆäËü˳Ӧ֢µÄ¿ª·¢£¬£¬£¬£¬£¬£¬£¬Îª¸ü¶à»¼Õß´øÀ´¸£Òô¡£¡£¡£¡£¡£¡£¡£¡£
*ʵÖÊÁÏΪרҵҽѧ×ÊÁÏ£¬£¬£¬£¬£¬£¬£¬½ö¹©Ò½ÁÆÎÀÉúרҵÈËÊ¿²Î¿¼£¬£¬£¬£¬£¬£¬£¬ÏêϸÕïÁÆÐÅÏ¢Çë×ñÒ½Öö¡£¡£¡£¡£¡£¡£¡£¡£
²Î¿¼ÎÄÏ×£º
1. JinHu Wang et al. JCO 43, 10044-10044(2025).
2. ÖйúÓÐÊý²¡Í¬ÃË¢ñÐÍÉñ¾ÏËάÁö²¡¶àѧ¿ÆÕïÁÆÐ×÷×é. [J].ÓÐÊý²¡Ñо¿, 2023,2(2):210-230.
3. Fisher MJ, et al. Neuro Oncol. 2022;24(11):1827-1844










